|
|
Tiemonium salts: evaluating potential genotoxic hazards with old products | Summary
The out-of-patent quaternary ammonium anticonvulsive agent tiemonium is commercialised as the iodide and methyl sulfate salts, reflecting, presumably the synthetic processes for the drug substances. Consequently, if alcohols or ethers are used in the ultimate manufacturing steps, there is a known and obvious risk that the products may contain genotoxic impurities. Since these are old products, it is not clear whether manufacturers are required to search for and control these impurities. Furthermore, an interested scientist or other member of the public has no way of knowing whether the safety of these products has been assured.
These tiamonium salts present a slightly less obvious potential genotoxic hazard: in the presence of nucleophilic counter-ions, alkylation (specifically methylation) reactions that form methylammonium salts are readily reversible, so that the powerful alkylating agents used as reagents could be re-formed as degradation products.
Finally, methylsulfate does not appear to be a pharmaceutically acceptable counter-ion. Consideration should be given to the possible occurrence of a disproportionation reaction yielding the alkylating agent dimethylsulfate.
|
| | The ICH M7 draft guideline (Step 2, 2013) is primarily concerned with genotoxic impurities in new products. Existing products do not have to be evaluated for genotoxic impurities unless certain changes are introduced, or there is 'specific cause for concern'. I don't know whose responsibility it is to decide whether there may be reasonable concern over products that may be old enough to be out of patent. Some examples, mainly related to intrinsic genotoxicity, are presented in my main article. Since writing that article, my attention has been drawn to the anticholinergic agent tiemonium, which is marketed as the iodide and methylsulfate salts. These compounds may illustrate the theoretical, practical and regulatory dilemmas posed for old products by the recent initiative on genotoxic impurities in pharmaceuticals.
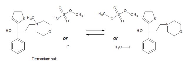
Tiemonium is a quaternary ammonium compound in which one of the nitrogen substituents is a methyl group (see figure below). The two unusual salt forms that are marketed preumably arise from the use of iodomethane or dimethylsulfate in the final step of the synthesis. Nowadays, iodide and methylsulfate are unlikely to be approved as counter-anions, particularly when the daily dose may reach a few hundred milligrams. It should be technically possible to change the anion, provided one can be found that yields a salt with suitable crystalline properties; however, that would add to the cost.
I leave to one side obvious questions about residual alkylating agents and the known risks associated with excessive doses of iodide. Also, as mentioned in the main article, I could find no information on whether the monomethylsulfate anion might diproportionate to a toxicologically significant extent under neutral conditions, to form dimethyl sulfate. This reaction is known for the free (strong) acid monomethylsulfuric acid.
Information on the solvents used by different manufacturers is not available to the general public. If alcohols or ethers are used, and in particular if the products contain significant residues of these solvents, a search for the corresponding genotoxic impurities should be considered mandatory.
Perhaps less obviously, the synthetic reaction should be reversible under certain conditions, as shown below:
|
| | When one of the substituents of a quaternary nitrogen is methyl, elimination of methyl is the favoured course for dealkylation, and this occurs under mild conditions. The reaction is used for analytical purposes. Any equilibrium would most likely favour the left hand side of the reaction shown above, because the de-alkylated product (nitrogen base) should be a good nucleophile for the reverse reaction. Nevertheless, the formation even of trace amounts of iodomethane or dimethylsulfate would be of concern. It is difficult to predict reactivities in the solid state (drug substances and formulated products). Moreover, any alkylating agents that may be formed might diffuse away from nucleophilic sites, so that equilibrium would not be established. Consequently, analytical determinations are required to verify the safety of these products.
There seems to be little published discussion on whether the intrinsic alkylating reactivity of endogenous and exogenous quaternary ammonium compounds might ever be toxicologically significant.
Methylating and ethylating agents that react by the classical SN2 mechanism are currently thought by some researchers to be of low risk, because they give threshold-type genotoxic dose responses, at least under the artificial conditions of in vitro experiments. This is ascribed in the recent literature to inducible and relatively error-free DNA-repair mechanisms. A mechanism particularly relevant in this particular case is the enzymatic reversal of spontaneous (non enzymatic) N-methylation of DNA bases, which occurs naturally by reaction of endogenous S-adenosylmethionine. Less effectively repaired is strand breakage following depurination. As mentioned in the main article, another type of protective mechanism that has not much been discussed for a few decades is scavenging by endogenous nucleophiles of some reagents, including those discussed here. Such scavenging could have a threshold in some cases.
The current draft of the ICH M7 guideline does mention research on threshold-type dose responses. However, this can not yet be taken into consideration when deciding whether or not to investigate indications of potentially hazardous situations such as that of the tiemonium salts. I consider that historical and current misunderstandings and omissions in the literature should be addressed before the subject is included in definitive regulatory guidelines.
It is by no means clear how post-marketing surveillance for genotoxicity should be carried out. We can not rely on ongoing worldwide pharmacovigilance programs because individual cases of the common types of cancer can rarely if ever be attributed to exposures to products of low or moderate potency that occurred many years previously. There seems to be a strong case for extending to all products the guidelines on anticipating the presence of genotoxic impurities, which currently apply only to newly-developed ones. Consideration should also be given to initiating a review of products that are known or could be suspected to be intrinsically genotoxic.
A weakness of the present regulatory system is that even the existence of studies carried out by manufacturers remains confidential. Anyone with concerns such as those expressed here has no way of knowing whether they have already been investigated. Moreover, the regulatory authorities may not respond to communications from private individuals nor, apparently, to published reports.
In conclusion, the draft ICH M7 guideline (Section 2) acknowledges that some existing drug substances not intended for cancer therapy may themselves be genotoxic. Such cases are not necessarily disquieting. However, in the case of the tiemonium salts, an obvious potential genotoxic hazard is related to potential impurities whose formation could be avoided, for example by using a less nucleophilic counter-anion. It would seem appropriate to investigate such products, whatever the date of their initial marketing authorisation. |
|
|
| Copyright © 2013. Tous droits réservés. | 28 October 2013 | Contact: crl@chrblee.net |
|
|
|